Phi4-mini
Demonstration Environment
Development Board : Jetson Orin Series Board
warning
Due to performance limitations, this model cannot be run on the Jetson Orin Nano 4GB.
The Phi-4-mini-instruction is a lightweight, open model built on synthetic data and curated public websites, focusing on high-quality, inference-intensive data.
1. Model Scale
| Model | Volume |
|---|---|
| phi4-mini:3.8b | 2.5GB |
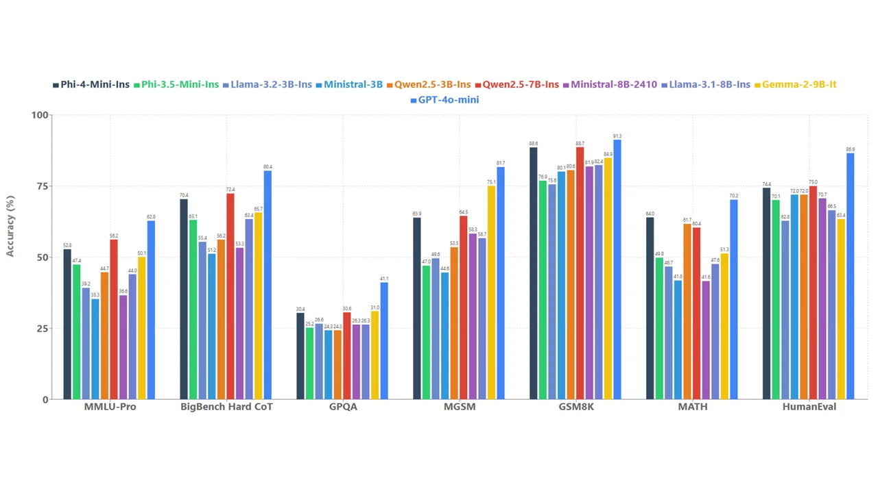
2. Performance

3. Using Phi4-mini
3.1 Running Phi4-mini
Use the run command to start running the model. If the model has not been downloaded, it will automatically pull the model from the Ollama model library:
ollama run phi4-mini:3.8b

3.2 Starting a Conversation
How many minutes is a quarter of an hour?
Response time depends on your hardware configuration. Please be patient!

3.3 Ending a Conversation
Use the Ctrl+D shortcut or /bye to end a conversation!
References
Ollama
Official Website: https://ollama.com/
GitHub: https://github.com/ollama/ollama
Phi4-mini
Ollama Compatible Model: https://ollama.com/library/phi4-mini